Merhaba, Sorugonder.Com'a Hoşgeldiniz. Lütfen soru sormak için hemen ÜYE OLUNUZ veya GİRİŞ YAPINIZ

0 oy
2,1b görüntü
Matematik dizininde tarafından
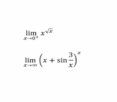
bu iki sorumu cevaplayabilir misiniz ? limit.png

     

Bu soruya cevap vermek için lütfen giriş yapınız veya kayıt olunuz.

Sorugonder.Com size bilginizi paylaşırken kol saati kazanma fırsatı veriyor. Aşağıda gördüğünüz kol saatleri sizi bekliyor. Nasıl mı? Tıklayın öğrenin..!

15,5b soru

3,5b cevap

105 yorum

19,9b üye

...