Merhaba, Sorugonder.Com'a Hoşgeldiniz. Lütfen soru sormak için hemen ÜYE OLUNUZ veya GİRİŞ YAPINIZ

0 oy
747 görüntü
Matematik dizininde tarafından

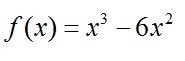
MATEMATİK I ÖDEV Ekte Resim olarak verilen fonksiyonunun 1) Artan-azalan olduğu aralıkları 2) Yerel maksimum, yerel minimum değerlerini 3) Dönüm noktasını bulunuz. 4) Yukarıya, aşağıya doğru konkav olduğu aralıkları 5) kapalı aralığındaki, mutlak maksimum, mutlak minimum değerlerini bulunuz.

 

soru_3.jpg


     

Bu soruya cevap vermek için lütfen giriş yapınız veya kayıt olunuz.

Sorugonder.Com size bilginizi paylaşırken kol saati kazanma fırsatı veriyor. Aşağıda gördüğünüz kol saatleri sizi bekliyor. Nasıl mı? Tıklayın öğrenin..!

15,5b soru

3,5b cevap

105 yorum

19,9b üye

...