Merhaba, Sorugonder.Com'a Hoşgeldiniz. Lütfen soru sormak için hemen ÜYE OLUNUZ veya GİRİŞ YAPINIZ

0 oy
988 görüntü
Matematik dizininde tarafından
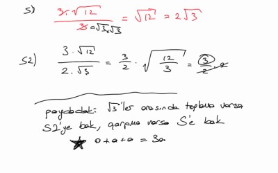
√¯ 12 + √¯ 12 + √¯ 12
------------------       =?
√¯ 3 √¯ 3

Arkadaşlar matematiksel işaretleri yapamadığımdan bu şekilde veriyorum kusura bakmayın.

     

Bu soruya cevap vermek için lütfen giriş yapınız veya kayıt olunuz.

1 cevap

0 oy
tarafından
cevap resimde ;) Sketch1901947.png

Sorugonder.Com size bilginizi paylaşırken kol saati kazanma fırsatı veriyor. Aşağıda gördüğünüz kol saatleri sizi bekliyor. Nasıl mı? Tıklayın öğrenin..!

15,5b soru

3,5b cevap

105 yorum

19,9b üye

...