Merhaba, Sorugonder.Com'a Hoşgeldiniz. Lütfen soru sormak için hemen ÜYE OLUNUZ veya GİRİŞ YAPINIZ

0 oy
431 görüntü
Matematik dizininde tarafından
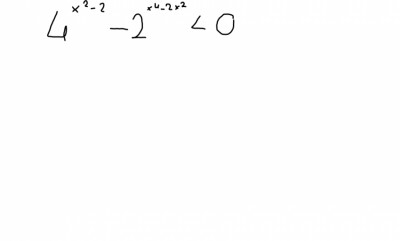
resimdeki bu eşitsizliğin en geniş çözüm aralığı nedir? lütfen acil sketch-59964570.png

     

Bu soruya cevap vermek için lütfen giriş yapınız veya kayıt olunuz.

Sorugonder.Com size bilginizi paylaşırken kol saati kazanma fırsatı veriyor. Aşağıda gördüğünüz kol saatleri sizi bekliyor. Nasıl mı? Tıklayın öğrenin..!

15,5b soru

3,5b cevap

105 yorum

19,9b üye

...